Nantong Chem-land Co., Ltd.
 
APIs...
Pharmaceutical intermediates...
Fine chemicals...
High Pure Chemicals for Elec...
Custom synthesis & Contract ...
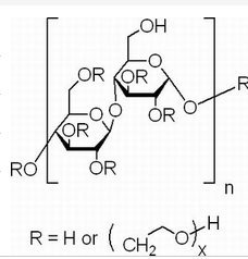
Hydroxyethyl methyl cellulose

Product Name: Hydroxyethyl methyl cellulose

CAS NO.: 9032-42-2

Structural formula:

Molecular formula: C34H66O24

Molecular weight: 858.8